• Предмет: Алгебра
  • Автор: abdalla99
  • Вопрос задан 10 лет назад

решите пожалуйста 1 и 2 задании только которые в левом столбике если смотреть вертикально! Помагите пжл!!

Приложения:

Ответы

Ответ дал: nadyakoverga1999
0
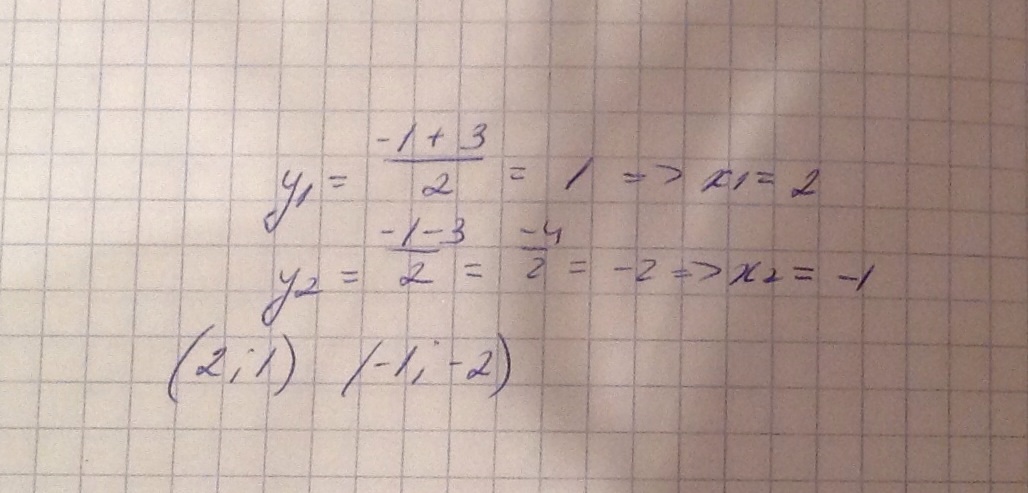
вот, но не уверена, что тут правильно. Ну должно получиться.
Приложения:
Ответ дал: abdalla99
0
Спасибо большое очень помогла!
Ответ дал: DashaNikitina451
0
Во вложениях..........
Приложения:
Ответ дал: abdalla99
0
Спасибо огромное!
Вас заинтересует