• Предмет: Математика
  • Автор: Аноним
  • Вопрос задан 10 лет назад

Помогите с номером 92 и 93

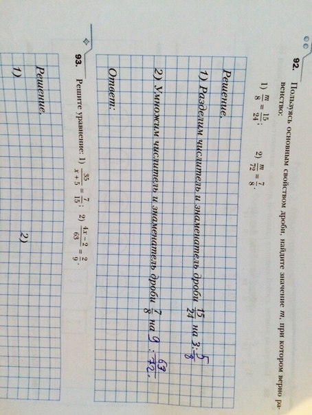
Приложения:

Ответы

Ответ дал: Варан
0
1. m=5              2/ m=63    там решено


93.
х+5=73
х=70

2. 4х-2=14
    4х=16
    х=4
Ответ дал: timoska17
0
в 92 номере первом примере , кажется ответ 5
Ответ дал: Варан
0
точно, не то нажал,спс
Ответ дал: timoska17
0
рад помочь ))))
Вас заинтересует