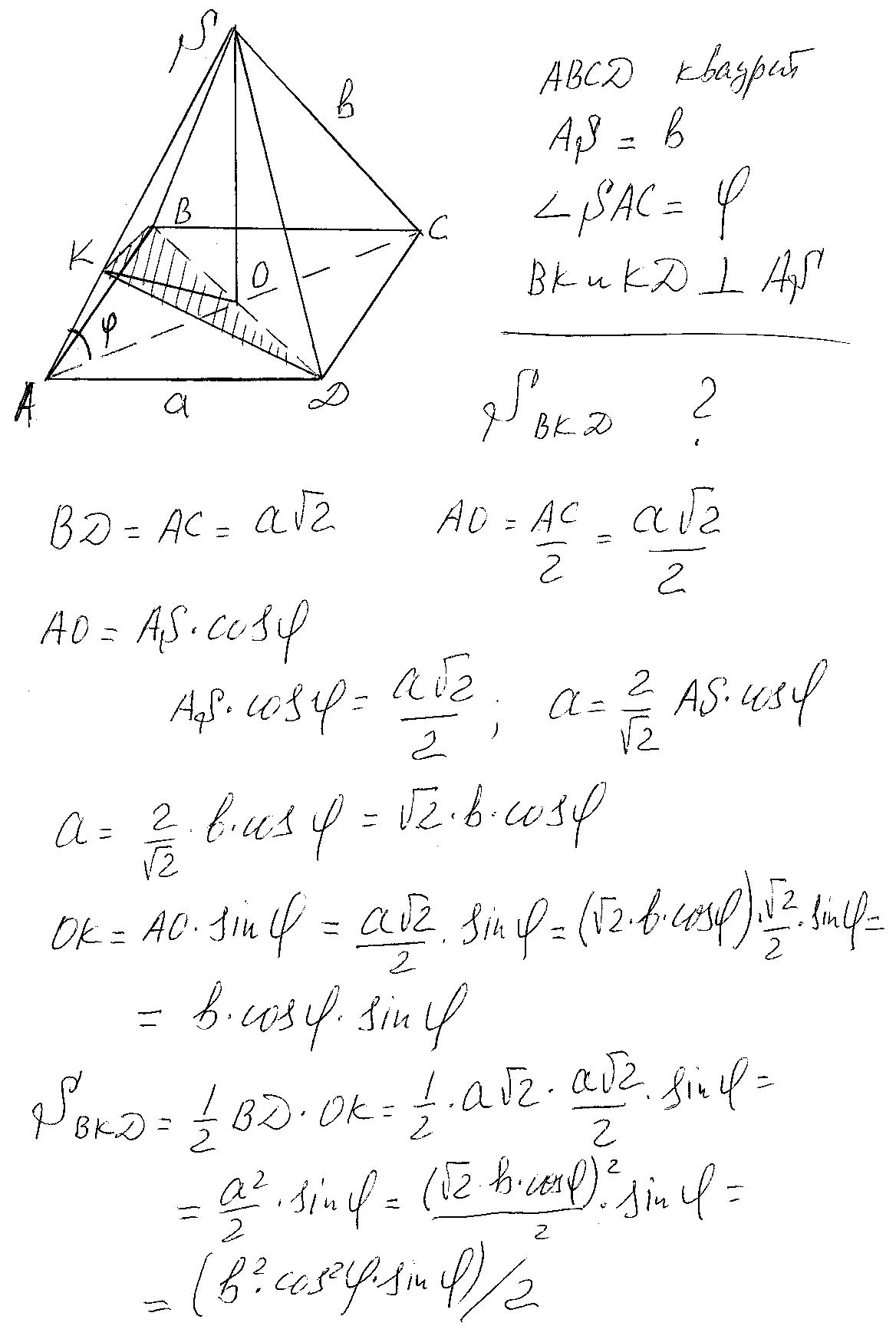
В правильной четырёхугольной пирамиде боковое ребро равно b и состовляет с плоскостью основания угол φ.Найдите площадь сечения пирамиды плоскостью,проходящей через диагональ основания и перпендикулярной боковому ребру пирамиды. (ответ желательно с рисунком во влажении)
Ответы
Ответ дал:
0
Обозначим пирамиду АВСДS(смотри рисунок). боковое ребро составляет с плоскостью основания угол SAC. ВК и КД перпендикуляры к ребру. Треугольник ВКД-искомое сечение. ОК-высота в этом треугольнике. Дальше всё по формулам тригонометрии. Окончательный ответSвкд=(в квадрат *(cosфи)квадрат*sinфи)/2.
Приложения:
Вас заинтересует
3 года назад
3 года назад
8 лет назад
8 лет назад
11 лет назад
11 лет назад
11 лет назад