• Предмет: Алгебра
  • Автор: янаяя
  • Вопрос задан 11 лет назад

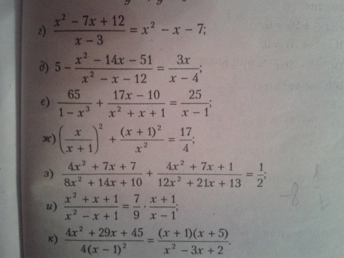
ааааааааааааааааа пожалуйста помогите решить..пожалуйстааааааааааааааааа,ну хоть половину

 

Приложения:

Ответы

Ответ дал: triolana
0

==============================================

Приложения:
Вас заинтересует