• Предмет: Математика
  • Автор: werba6042002
  • Вопрос задан 10 лет назад

Решите с действиями.
(8-1 целая 1/9)*9=

Ответы

Ответ дал: JosephGoebbels
0
Нужно просто перевести в неправильную дробь всё, что в скобках; произвести вычитание — и после сократить на "9".
Приложения:
Ответ дал: Аноним
0
9*8=72 , а не 81!!!...
Ответ дал: JosephGoebbels
0
Да, да. Уже исправил, совершил банальную ошибку -- каюсь (:
Ответ дал: Аноним
0
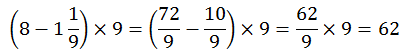
1).
8-1 1/9=8-10/9=(72-10)/9=62/9;
2)
62/9*9=62.
Приложения:
Вас заинтересует