• Предмет: Алгебра
  • Автор: 19990824
  • Вопрос задан 11 лет назад

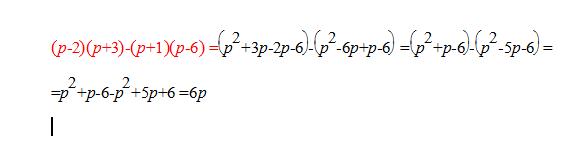
(p-2)(p+3)-(p+1)(p-6)

Ответы

Ответ дал: triolana
0

==================================

Приложения:
Вас заинтересует