• Предмет: Алгебра
  • Автор: Kirihka
  • Вопрос задан 10 лет назад

Пожалуйста помогите надо до завтра

Приложения:

Ответы

Ответ дал: manyny06
0
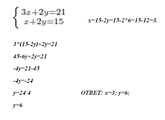
решение смотри на фотографии
Приложения:
Ответ дал: Kirihka
0
спасибо☺️
Ответ дал: optimistfine
0
Вот решение Удачи;)                                                                                  
Приложения:
Вас заинтересует