• Предмет: Алгебра
  • Автор: terekhov98dimas
  • Вопрос задан 10 лет назад

как решить систему уравнений
х+3у=0
х(в квадрате)+у(в квадрате)-2ху=9

Ответы

Ответ дал: koltvich
0
 (-3y)^{2} + y^{2} -2*(-3y)*y-9=0
 8y^{2} +6y-9=0
D=36+288=324
 x_{1} = frac{-6+18}{16} =0,75
 x_{2} = frac{-6-18}{16} =-1 frac{1}{2}
 x_{1} =-2,25
 x_{2} = frac{9}{2}
Не забудь поблагодарить*)
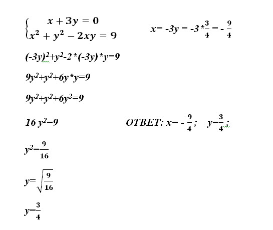
Ответ дал: optimistfine
0
Вот решение систем. уровнений. Удачи ;
Приложения:
Вас заинтересует