• Предмет: Алгебра
  • Автор: ulanovavaleria2
  • Вопрос задан 10 лет назад

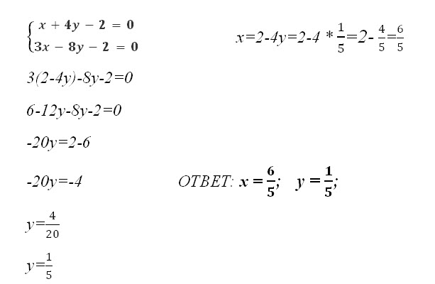
Решите методом подстановки систему уравнений
x+4y-2=0
3x-8y-2=0

Ответы

Ответ дал: leonardodavinchei
0
типо этого?
х+4у-2=3х-8у-2
12у=2х
6у=х
у=6÷х
Ответ дал: ulanovavaleria2
0
Нет, это программа 7 класса, метод подстановки к системе уравнений, надо найти два числа, которые будут координатами этих точек на координатной прямой.
Ответ дал: optimistfine
0
Но не проверил ;) Удачи :)
Приложения:
Ответ дал: ulanovavaleria2
0
Спасибо)А вот это сможешь решить?
Ответ дал: ulanovavaleria2
0
x+4y-2=0
3x+8y- 2=0
Ответ дал: optimistfine
0
;)
Вас заинтересует