• Предмет: Алгебра
  • Автор: LisaWestfall
  • Вопрос задан 11 лет назад

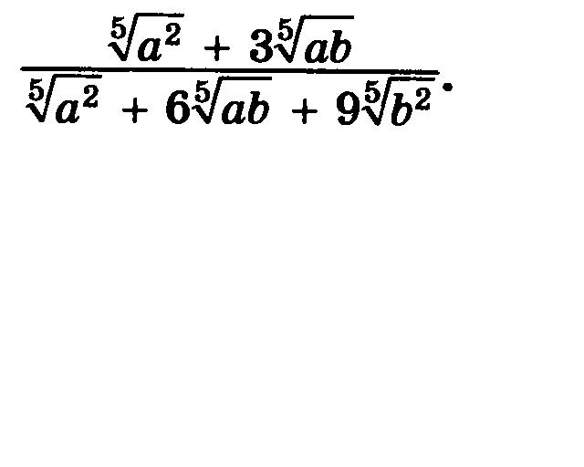
Упростите выражение:

...........................

 

 

Приложения:

Ответы

Ответ дал: Yena
0

.........................................

Приложения:
Вас заинтересует