• Предмет: Алгебра
  • Автор: kostx
  • Вопрос задан 10 лет назад

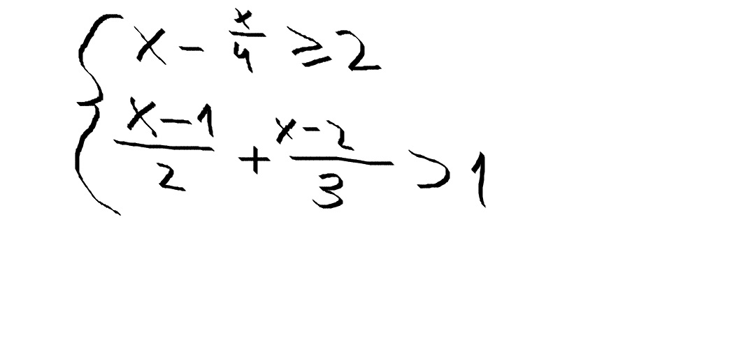
Помогите решить систему???

Приложения:

Ответы

Ответ дал: makaradaya
0
 left { {{x(1-frac14) geq 2} atop {3x-3+2x-4>6}} right. => left { {{frac{3x}4geq 2} atop {5x-7>6}} right.=> left { {{3x geq 8} atop {5x>13}} right. => left { {{x geq frac83} atop {x>frac{13}5} right. => left { {{x geq 2.(6)} atop {x>2.6}} right.\\
S=[2.(6);+infty)
Вас заинтересует