Ответы
Ответ дал:
0
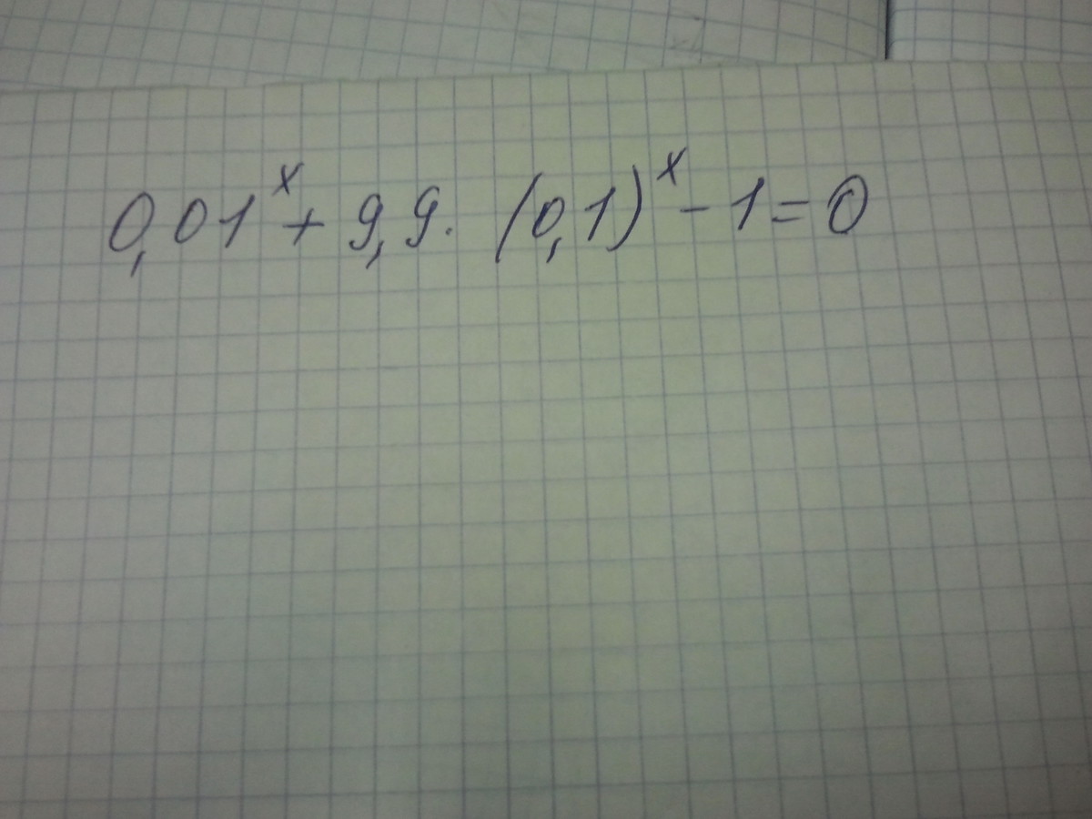
0.01 = 0.1^2 0.1^2x
Сделаем замену
0.1^x=t
t²+9.9t-1=0
d=√102.01 = 10.1
t1/t2= (-9.9+-10.1)/2=-10 ; 0.1
0.1^x = -10 нет решения
0.1^x= 0.1 х=1
Сделаем замену
0.1^x=t
t²+9.9t-1=0
d=√102.01 = 10.1
t1/t2= (-9.9+-10.1)/2=-10 ; 0.1
0.1^x = -10 нет решения
0.1^x= 0.1 х=1
Ответ дал:
0
я бы тебе фотку отправил но хз как
Ответ дал:
0
а если 1 то 0.01+9.9*0.1-1 = 0.01+0.99-1 = 0.01-0.01 = 0
Ответ дал:
0
ответ откуда ?
Ответ дал:
0
а ты прав
Ответ дал:
0
да
Вас заинтересует
2 года назад
8 лет назад
8 лет назад
10 лет назад
10 лет назад
11 лет назад
11 лет назад