• Предмет: Математика
  • Автор: laurazeynalova
  • Вопрос задан 10 лет назад

выполнение задания было поручено двум бригадам. После того как первая бригада проработала 2 дня, работе приступила вторая бригада. И через 1 3/4 дня они вместе выполнили задание.За сколько дней это задание могла бы выполнить каждая бригада, работая отдельно, если первой потребуется на это на 2 дня менше?

Ответы

Ответ дал: ireena
0
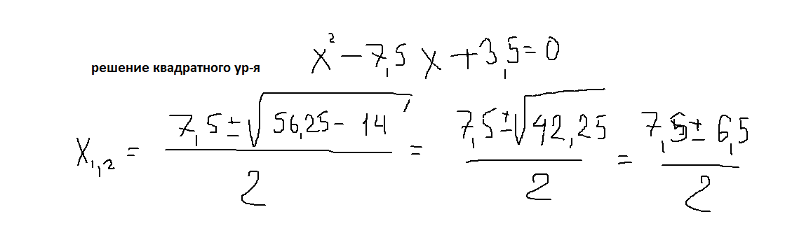
Решение в приложенном файле
Приложения:
Вас заинтересует