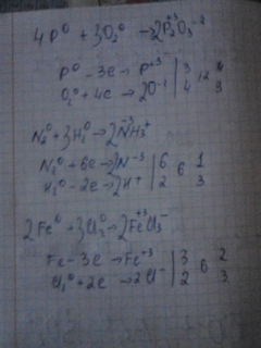
Помогите пожалуйста уровнять ОВР методом электронного баланса
P+O2---P2O3
N2+H2----NH3
Fe+Cl2----FeCl3
----(cтрелочка)
Ответы
Ответ дал:
0
Помогите пожалуйста уровнять ОВР методом электронного баланса
Приложения:

Вас заинтересует
2 года назад
7 лет назад
7 лет назад
10 лет назад
10 лет назад
10 лет назад