• Предмет: Алгебра
  • Автор: ira7899
  • Вопрос задан 10 лет назад

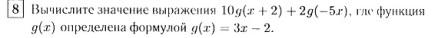
Помогите пожалуйста на фото!!!

Приложения:

Ответы

Ответ дал: loury28
0
Попробуй подставить в выражение  вместо g (3x-2) и решить его
Вас заинтересует