!!!!!!!!!!!!!!!!!!!!!!!!!!!!!!!!!!!!СРОЧНО!!!!!!!!!!!!!!!!!!!!!!!!!!!!!!!!!!!!
Через внутреннюю точку квадрата, со стороной 12 см, проведены прямые, параллельный его сторонам. Одна прямая делит сторону в отношении 1:5, а другая - в отношении 7:5. Образовалось четыре четырёхугольника. Найдите площадь наименьшего четырёхугольника.
Ответы
Ответ дал:
0
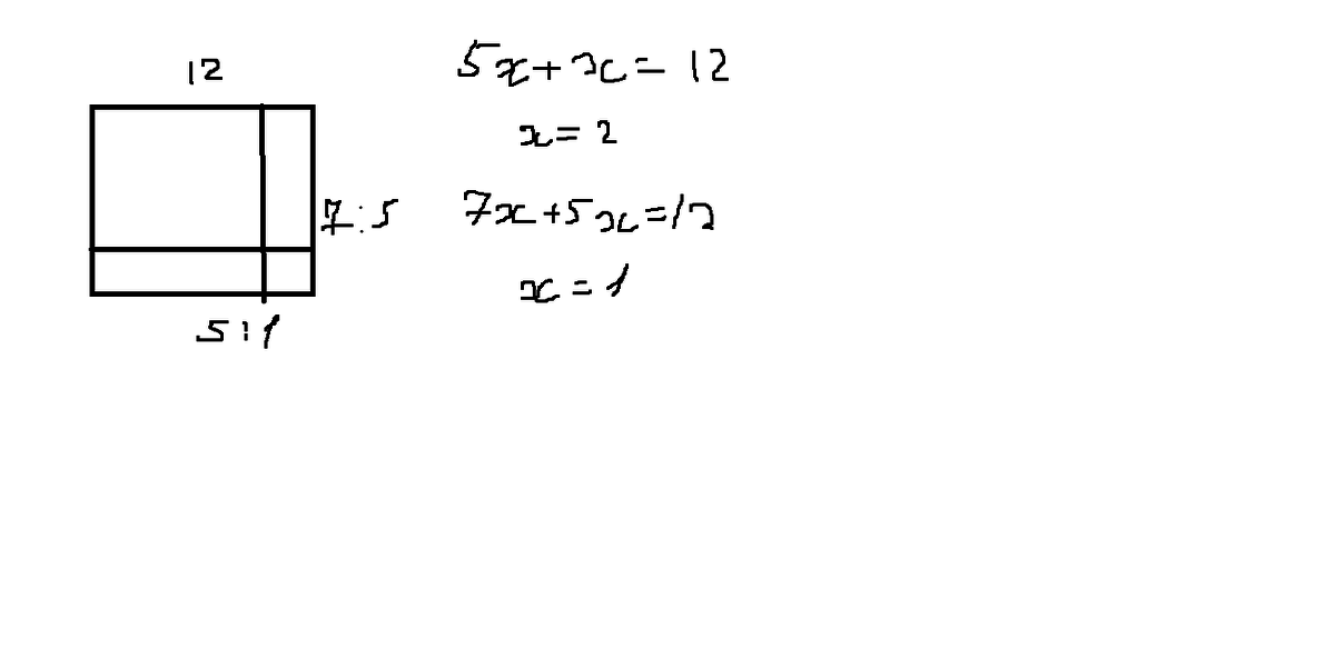
Х=2 - одна сторона четырехугольника.
Х=5*1=5 - вторая сторона четырехугольника.
Площадь = 5*2=10
Х=5*1=5 - вторая сторона четырехугольника.
Площадь = 5*2=10
Приложения:
Вас заинтересует
3 года назад
3 года назад
8 лет назад
11 лет назад