• Предмет: Алгебра
  • Автор: Ablai97
  • Вопрос задан 10 лет назад

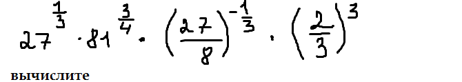
решите..............

Приложения:

Ответы

Ответ дал: nafanya2014
0
27 ^{ frac{1}{3} }cdot 81 ^{ frac{3}{4} } cdot  (frac{27}{8})  ^{- frac{1}{3} }cdot ( frac{2}{3}) ^{3}=(3 ^{3}) ^{frac{1}{3}} cdot (3 ^{4})  ^{ frac{3}{4} } cdot   ((frac{3}{2}) ^{3} )  ^{- frac{1}{3} }cdot ( frac{2}{3}) ^{3}= \ =3cdot 3^{3} cdot ( frac{3}{2}) ^{-1} cdot ( frac{2}{3}) ^{3}= 3 ^{4}cdot frac{2}{3} cdot ( frac{2}{3}) ^{3}=2 ^{4}=16
Вас заинтересует