Ответы
Ответ дал:
0
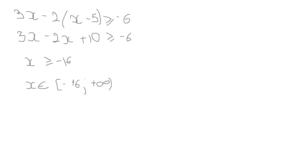
3х-2*(х-5) больше или равно -6.
3х-2х+10 больше или равно -6.
Х больше или равно -10-6.
Х больше или равно -16.
Ответ: х больше или равно -16. Или [-16; + бесконечность)
( каждое отдельное выражение отделено .)
*Ответ начинается с числа потому что знак неравенства больше и на втором месте стоит + бесконечность скобка открывающая квадратная потому что неравенство строгое( есть равно те больше или равно а заканчивается бесконечность всегда круглой скобкой).Если неравенство не строгое просто больше или меньше пишется в круглой скобки число). Если неравенство меньше какого то числа то начинают писать ответ в круглой скобки минус бесконечность ; число которое получилось при решение неравенства и если строгое закрываем ] если нестрогое )
Ответ дал:
0
все на рисунку показано.
Приложения:

Вас заинтересует
2 года назад
2 года назад
7 лет назад
7 лет назад
10 лет назад