• Предмет: Математика
  • Автор: Яночка200
  • Вопрос задан 10 лет назад

Решите пожалуйсто
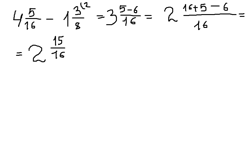
четыре целых пять шестнадцатых минус одна целая три восьмых сколько получится?

Ответы

Ответ дал: linasubbotina1
0
вот так вот..................................
Приложения:
Ответ дал: ДашаКасьянова
0
две целых пять восмых
Ответ дал: linasubbotina1
0
почему?
Ответ дал: ДашаКасьянова
0
Первый раз не правильно, на фотке правильный ответ!
Приложения:
Ответ дал: linasubbotina1
0
это можно считать как 2ой способ
Ответ дал: ДашаКасьянова
0
Я решила, решила. Какие ко мне вопросы?
Ответ дал: linasubbotina1
0
Вас заинтересует