Ответы
Ответ дал:
0
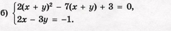
замена: x+y = t
тогда x = t - y
получим:
2t² - 7t + 3 = 0
2(t - y) - 3y = -1
--------------------система
D = 49-4*2*3 = 5² (t)1;2 = (7+-5)/4 t1 = 1/2 t2 = 3
2t = 5y - 1
---------------
5y = 2t + 1
1) 5y = 2 y1 = 2/5 = 0.4
2) 5y = 7 y2 = 7/5 = 1.4
x1 = t1 - y1 = 0.5 - 0.4 = 0.1
x2 = t2 - y2 = 3 - 1.4 = 1.6
Ответ: (0.1; 0.4), (1.6; 1.4)
тогда x = t - y
получим:
2t² - 7t + 3 = 0
2(t - y) - 3y = -1
--------------------система
D = 49-4*2*3 = 5² (t)1;2 = (7+-5)/4 t1 = 1/2 t2 = 3
2t = 5y - 1
---------------
5y = 2t + 1
1) 5y = 2 y1 = 2/5 = 0.4
2) 5y = 7 y2 = 7/5 = 1.4
x1 = t1 - y1 = 0.5 - 0.4 = 0.1
x2 = t2 - y2 = 3 - 1.4 = 1.6
Ответ: (0.1; 0.4), (1.6; 1.4)
Вас заинтересует
3 года назад
3 года назад
8 лет назад
10 лет назад
10 лет назад
11 лет назад