• Предмет: Алгебра
  • Автор: Аделя1999
  • Вопрос задан 11 лет назад

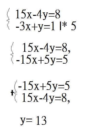
решите систему уравнений методом подстановки 

{15x-4y=8,-3x+y=1

Ответы

Ответ дал: МАрИйКа14
0

решение во вложении.Надеюсь я правильно понялазадание)

Приложения:
Ответ дал: ZarazKo
0

{15x-4y=8,-3x+y=1, тогда у с второго уравнения будет 1+3х

подставляэм в первое уравнение

15х -4(1+3х)=8

15х -4-12х=8

3х=12

х=4

Приложения:
Вас заинтересует