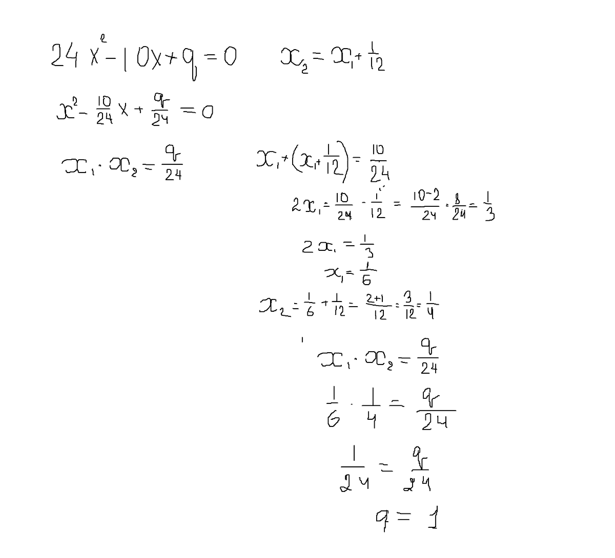
"Один из корней квадратного уравнения 24x^2 - 10x + q = 0 на 1/12 больше другого. Найдите q"
P.S там по теореме Виета решать надо)
Ответы
Ответ дал:
0
решение в приложенном файле
Приложения:

Вас заинтересует
2 года назад
7 лет назад
7 лет назад
10 лет назад
10 лет назад
10 лет назад