Ответы
Ответ дал:
0
......................................
Приложения:

Ответ дал:
0
Спасибо огромное
Ответ дал:
0
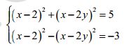
Сделаем замену:

Ответ:
(3;0,5)
(3;2,5)
(1;-0,5)
(1;1,5)
Ответ:
(3;0,5)
(3;2,5)
(1;-0,5)
(1;1,5)
Приложения:

Вас заинтересует
7 лет назад
10 лет назад
10 лет назад
10 лет назад
10 лет назад