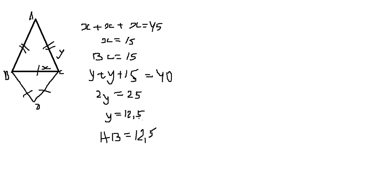
Периметр равнобедренного треугольника ABC с основанием BC равен 40 см, а периметр равностороннего треугольника BDC равен 45 см, Найти стороны AB и BC.
Ответы
Ответ дал:
0
Получится вот так :)
Приложения:

Вас заинтересует
2 года назад
7 лет назад
7 лет назад
10 лет назад
10 лет назад
10 лет назад