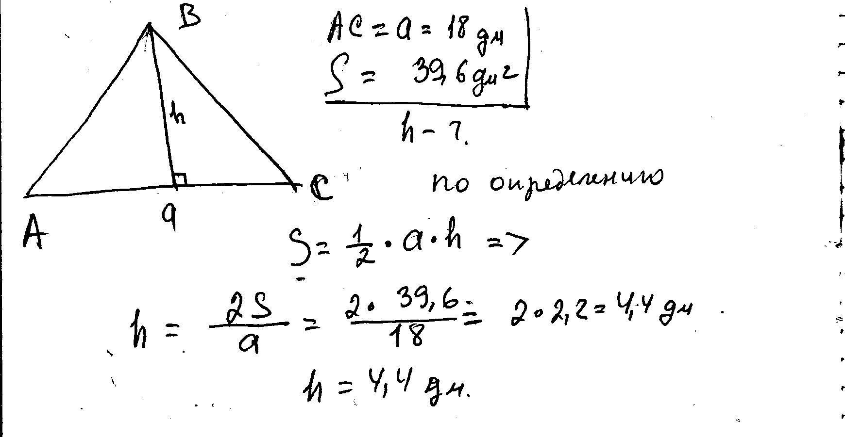
Найдите высоту треугольника , если площадь этого треугольника равна 39,6 дм(в квадрате), а его основание равно 18 дм
Ответы
Ответ дал:
0
решение в скане.......................
Приложения:

Вас заинтересует
2 года назад
2 года назад
10 лет назад
10 лет назад