Средняя линия трапеции равняется 10 и делит площадь трапеции в отношении 3:5. Найдите длину оснований этой трапеции.
Ответы
Ответ дал:
0
Нижнее основание трапеции равно 2*10=20, тогда верхнее основание равно 3*20/5=12 Ответ:12, 20
Ответ дал:
0
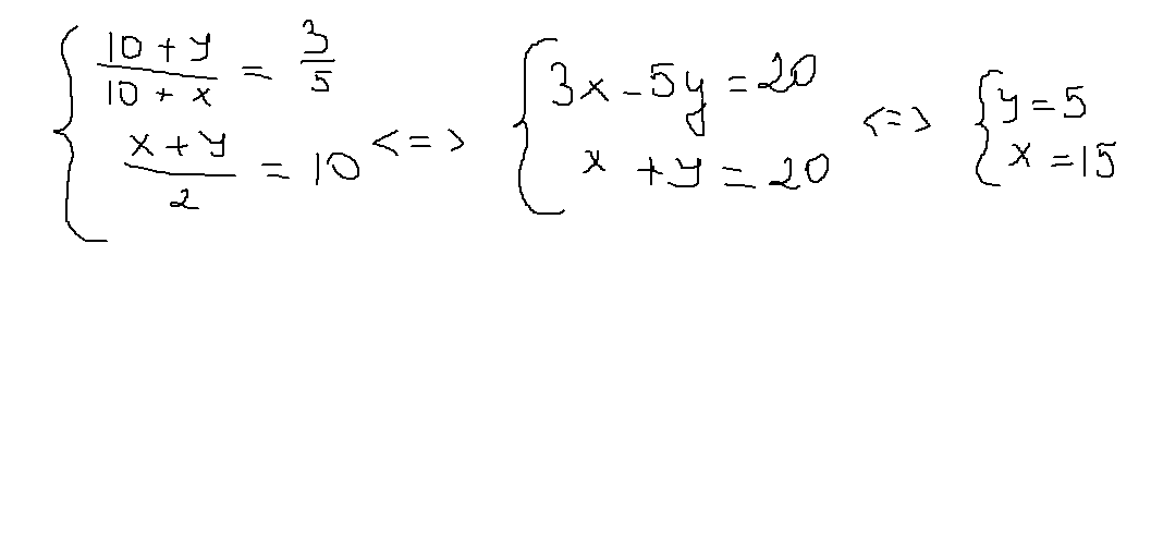
Пусть основания трапеций раны х и у; высоты трапеций обозначим через h. Так как площадь трапеции равна произведению полусуммы оснований на высоту трапеции, то s1=((10+y)/2)*h; s2=((x+10)/2)*h.Значит s1/s2=(10+y)/(x+10)=3/5. по свойству ср.линии трапеции (х+у)/2=10. Получаем сис-му ур-ий(на рисунке).
Ответ: 5; 15.
Приложения:

Вас заинтересует
2 года назад
2 года назад
8 лет назад
8 лет назад
10 лет назад
10 лет назад
10 лет назад