• Предмет: Математика
  • Автор: Bylo4ka
  • Вопрос задан 10 лет назад

Пожалуйста, помогите решить, надо очень срочно!
Примеры на фото!

Приложения:

Ответы

Ответ дал: arven1
0
интеграл cos x/2 dx= sin x/2 +C
интеграл по експоненте = e^(x-7)+C
интеграл косинуса = tg x/5+C

Приложения:
Ответ дал: Bylo4ka
0
А теперь нельзя ли поподробней расписать, как вы это получили?
Ответ дал: arven1
0
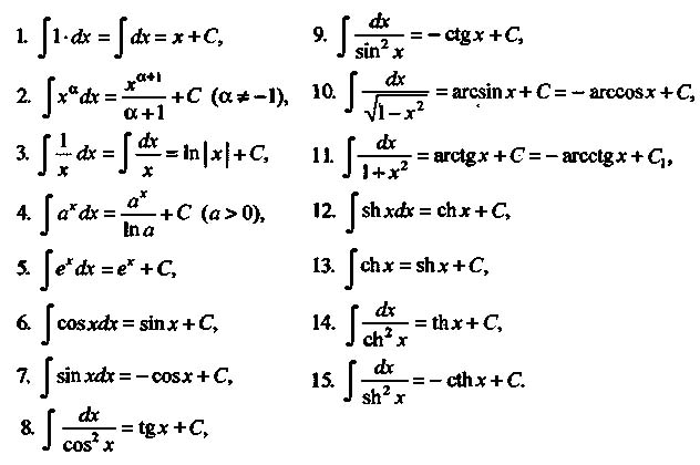
а это табличные интегралы. Используя таблицу интегралов они решаются
Ответ дал: Bylo4ka
0
Но ведь в таблице нет интеграла, скажем, от cos^2*(x/5), но есть интеграл от cos^2*x. Чтобы прийти к табличному значению, не нужно ли сначала какие-то преобразования сделать?
Вас заинтересует