Срочно нужно!!! Заранее спасибо
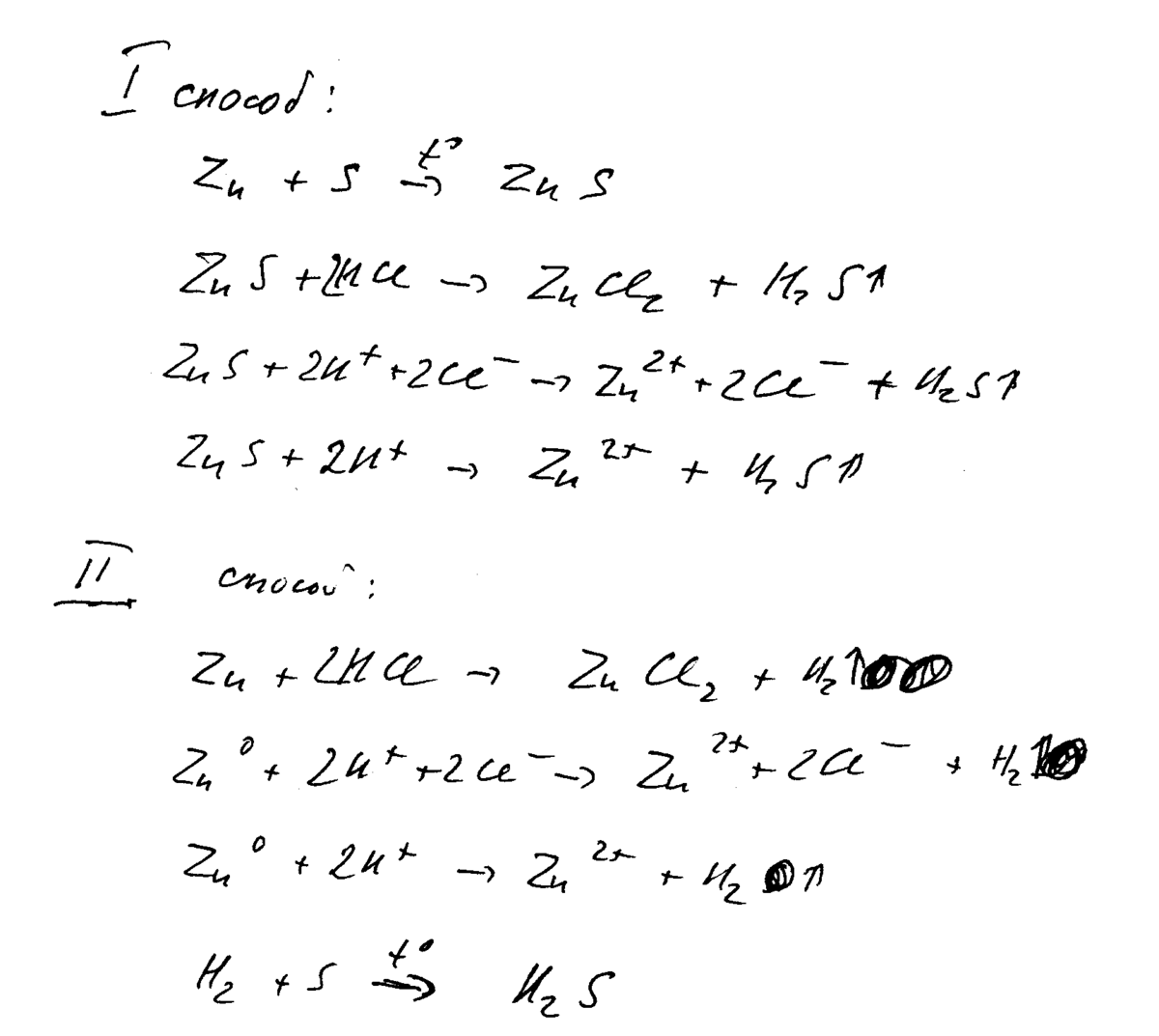
Какими двумя способами можно получить сероводородную имея серу, цинк и соляную кислоту ? Напишите реакции в молекулярной, полной ионной и сокращенной ионной формах.
Ответы
Ответ дал:
0
1).Na2CO3 + 2 CH3COOH ---> 2CH3COONa + H2O + CO2
2Na(+) + CO3(-2) + 2 CH3COO(-) +2H(+) ---> 2CH3COO(-) +2Na(+) + H2O + CO2 CO3(-2) +2H(+) ---> H2O + CO2,
2).Zn + 2 HCOOH ---> Zn(HCOO)2 + H2,
Zn(0) + 2 HCOO(-) +2H(+) ---> Zn(+2) + 2HCOO(-) + H2(0),
Zn(0) +2H(+) ---> Zn(+2) + H2(0),
3).C2H5COOH + NaOH --> C2H5COONa + H2O,
C2H5COO(-) +H(+) + Na(+) + OH(-) --> C2H5COO(-) +Na(+) + H2O,
H(+) + OH(-) --> H2O,
4). 2 CH3COOH + MgO --->(CH3COO)2Mg + H2O
2CH3COO(-) +2H(+) + MgO ---> 2CH3COO(-) +Mg(2+) + H2O,
2H(+) + MgO ---> Mg(2+) + H2O
2Na(+) + CO3(-2) + 2 CH3COO(-) +2H(+) ---> 2CH3COO(-) +2Na(+) + H2O + CO2 CO3(-2) +2H(+) ---> H2O + CO2,
2).Zn + 2 HCOOH ---> Zn(HCOO)2 + H2,
Zn(0) + 2 HCOO(-) +2H(+) ---> Zn(+2) + 2HCOO(-) + H2(0),
Zn(0) +2H(+) ---> Zn(+2) + H2(0),
3).C2H5COOH + NaOH --> C2H5COONa + H2O,
C2H5COO(-) +H(+) + Na(+) + OH(-) --> C2H5COO(-) +Na(+) + H2O,
H(+) + OH(-) --> H2O,
4). 2 CH3COOH + MgO --->(CH3COO)2Mg + H2O
2CH3COO(-) +2H(+) + MgO ---> 2CH3COO(-) +Mg(2+) + H2O,
2H(+) + MgO ---> Mg(2+) + H2O
Ответ дал:
0
Успіхів!!!!!!!!!!!!!
Успехов!!!!!!!!!!!!!!!!
Успехов!!!!!!!!!!!!!!!!
Приложения:

Ответ дал:
0
В конце
Ответ дал:
0
Так принято писать заряд для простого вещества. Можете 0 и не вказывать
Ответ дал:
0
Я про выделенные после Н2
Ответ дал:
0
или это О
Ответ дал:
0
Не обращайте на них внимание. Я вычеркнул свою ошибку
Вас заинтересует
2 года назад
2 года назад
7 лет назад
7 лет назад
10 лет назад
10 лет назад
10 лет назад