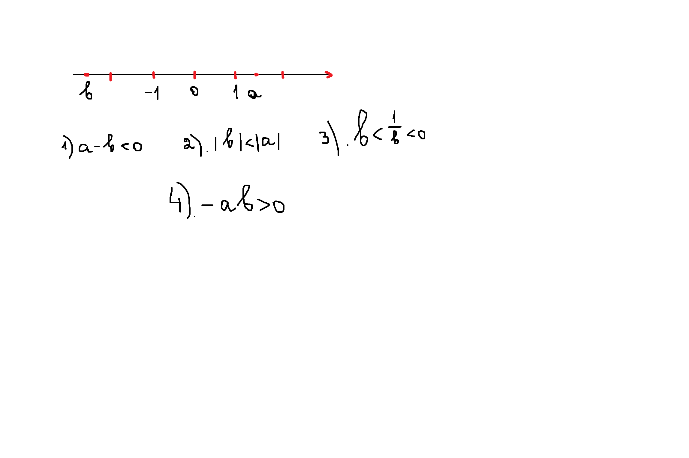
Выберите верное утверждения относительно чисел a и b , расположенных на числовой прямой.
Приложения:

Ответы
Ответ дал:
0
Два варианта правльные-3 и 4
Ответ дал:
0
Под 3 и 4, т.к. если а = 1.5, б=2.5
всё подходит
Вас заинтересует
10 лет назад
10 лет назад
10 лет назад