Ответы
Ответ дал:
0
Если что-то будет не понятно обращайся
Приложения:
Ответ дал:
0
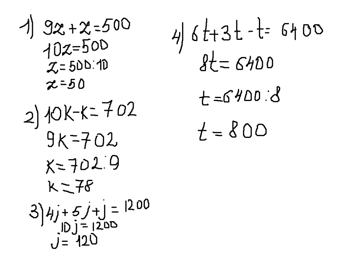
1.)
10z=500
z=500÷10=50
2)
9k=702
k=702÷9=... ( с калькулятором реши)
3.)
10j=1200
j=1200÷10=120
4.)
8t=6400
t=6400÷8=... ( с калькулятором реши)
не забудь оценить мой ответ
10z=500
z=500÷10=50
2)
9k=702
k=702÷9=... ( с калькулятором реши)
3.)
10j=1200
j=1200÷10=120
4.)
8t=6400
t=6400÷8=... ( с калькулятором реши)
не забудь оценить мой ответ
Приложения:
Вас заинтересует
3 года назад
3 года назад
8 лет назад
8 лет назад
10 лет назад
10 лет назад
11 лет назад