• Предмет: Алгебра
  • Автор: girfanova99
  • Вопрос задан 10 лет назад

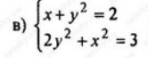
Как решить???скажите начало дальше я пойму

Приложения:

Ответы

Ответ дал: nukalka
0
Решаете как любую другую систему. Из первого уравнения выражаете х. х=2-у*у. Подставляете во второе, получаете: 2*у^2+(2-y^2)^2=3. Раскрываете скобки и получаете квадратное уравнение относительно у^2, если не понимаете, что делать с у^2, то замените y^2, например, на t. Решаете дальше, получаете ответ. Вы сами просили всё не решать, а начало я вам подсказала. Удачи!
Вас заинтересует