Ответы
Ответ дал:
0
см.вложения
==================================
Приложения:

Ответ дал:
0
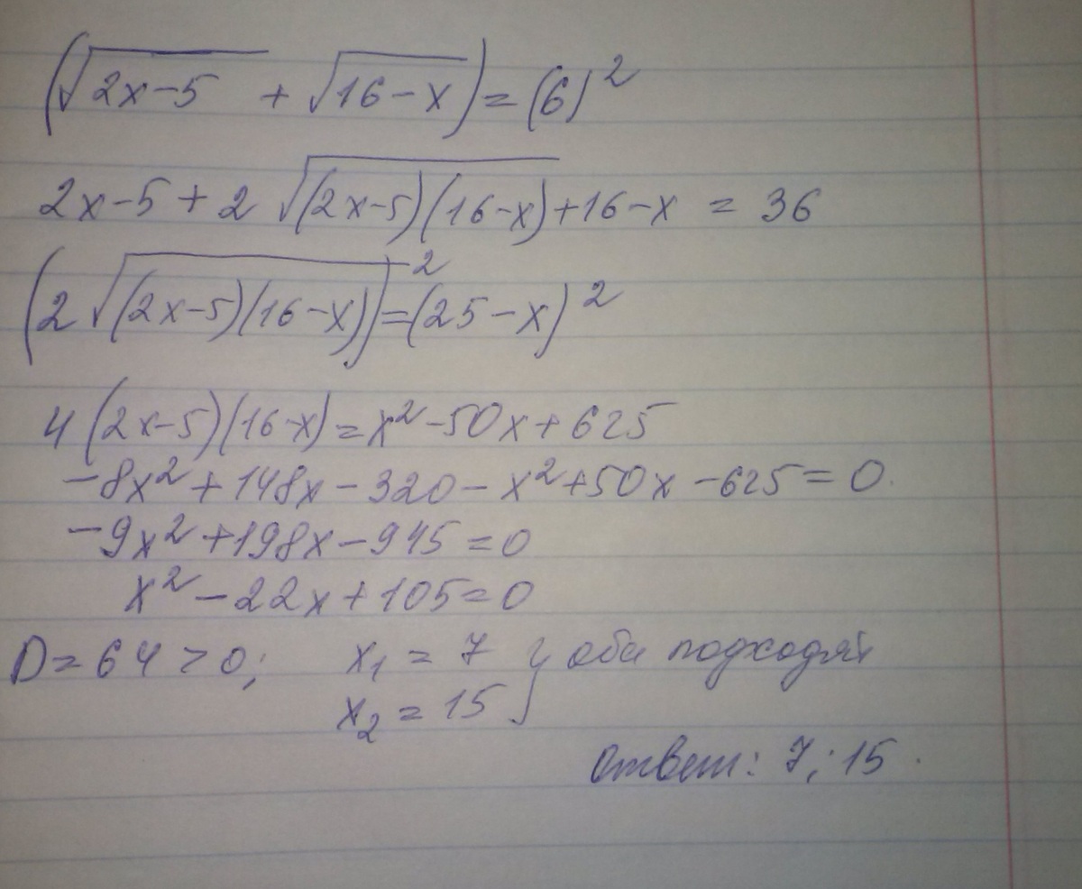
(√(2х-5)+√(16-х))^2=(6)^2
2x-5+16-x+2√(32x-2x^2-80+5x)=36
(2√(32x-2x^2-80+5x))^2=(25-x)^2
4*(37x-2x^2-80)=625-50x+x^2
148x-8x^2-320-625+50x-x^2=0
-9x^2+198x-945=0
-x^2+22x-105=0
x1=7 x2=15
Ответ:x=7 и x=15
Приложения:

Вас заинтересует
2 года назад
2 года назад
8 лет назад
8 лет назад
10 лет назад
10 лет назад