• Предмет: Математика
  • Автор: moptima1111
  • Вопрос задан 10 лет назад

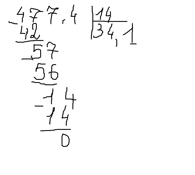
Как решить пример? 477.4 разделить на 14??

Ответы

Ответ дал: Hoshi
0
Обычное деление в столбик:  
Приложения:
Вас заинтересует