Ответы
Ответ дал:
0
Решение
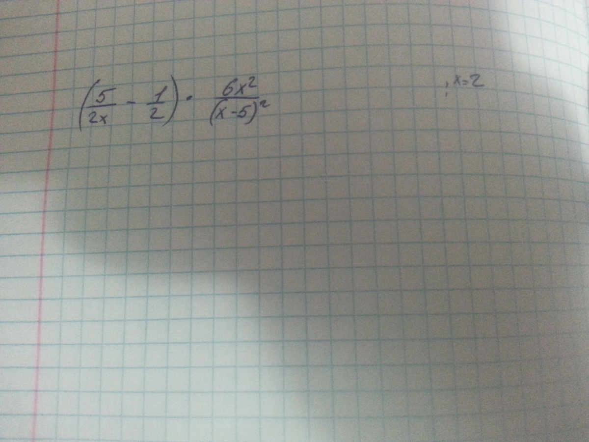
((5/2x) - 1/2 )*((6x^2)/( x- 5)^2)
((10 - 2x)/4x ) / (6x^2)/(5 - x)^2) =
(2*(5 - x)*(6x^2)) / (4x)*(5 - x)^2) = 3/(5 - x)
((5/2x) - 1/2 )*((6x^2)/( x- 5)^2)
((10 - 2x)/4x ) / (6x^2)/(5 - x)^2) =
(2*(5 - x)*(6x^2)) / (4x)*(5 - x)^2) = 3/(5 - x)
Вас заинтересует
3 года назад
3 года назад
10 лет назад
10 лет назад
11 лет назад