• Предмет: Алгебра
  • Автор: iolantagrekova1
  • Вопрос задан 10 лет назад

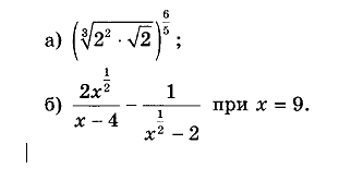
Найдите значение выражения:

Приложения:

Ответы

Ответ дал: nellisokolova
0

(∛ 2²·2⁵/⁶)⁶/⁵=(∛2²·2¹/²)⁶/⁵=(∛2⁵/²)⁶/⁵=(2⁵/⁶)⁶/⁵=2.


Напишите в ответе здесь
Вас заинтересует