• Предмет: Алгебра
  • Автор: iolantagrekova1
  • Вопрос задан 10 лет назад

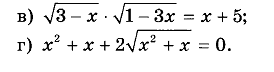
Алгебра 11 класс.
Решите уравнение:

Приложения:

Ответы

Ответ дал: dashabobruisk
0
____________________________________________________
Приложения:
Вас заинтересует