• Предмет: Алгебра
  • Автор: vanek77711
  • Вопрос задан 10 лет назад

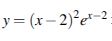
Помогите найти производную
Во вложении

Приложения:

Ответы

Ответ дал: НеЛогичныйМакс
0
y'=2(x-2)*1*e в степени x-2 + (x-2)в степени 2 * e (в степени (x-2)) *1
Ответ дал: vanek77711
0
(х-2) в квадрате= 2(х-2) это как
Ответ дал: НеЛогичныйМакс
0
это производное) если было бы (2х-2)в квадрате то тогда бы получилось бы =2(х-2)*2
Ответ дал: vanek77711
0
понял, спс
Вас заинтересует