Помогите) С подругой решаем, думаем как решить, хотим узнать правильный ответ
Это геометрия 9 класс. Нужно решить 1), 2), и 3) задание.
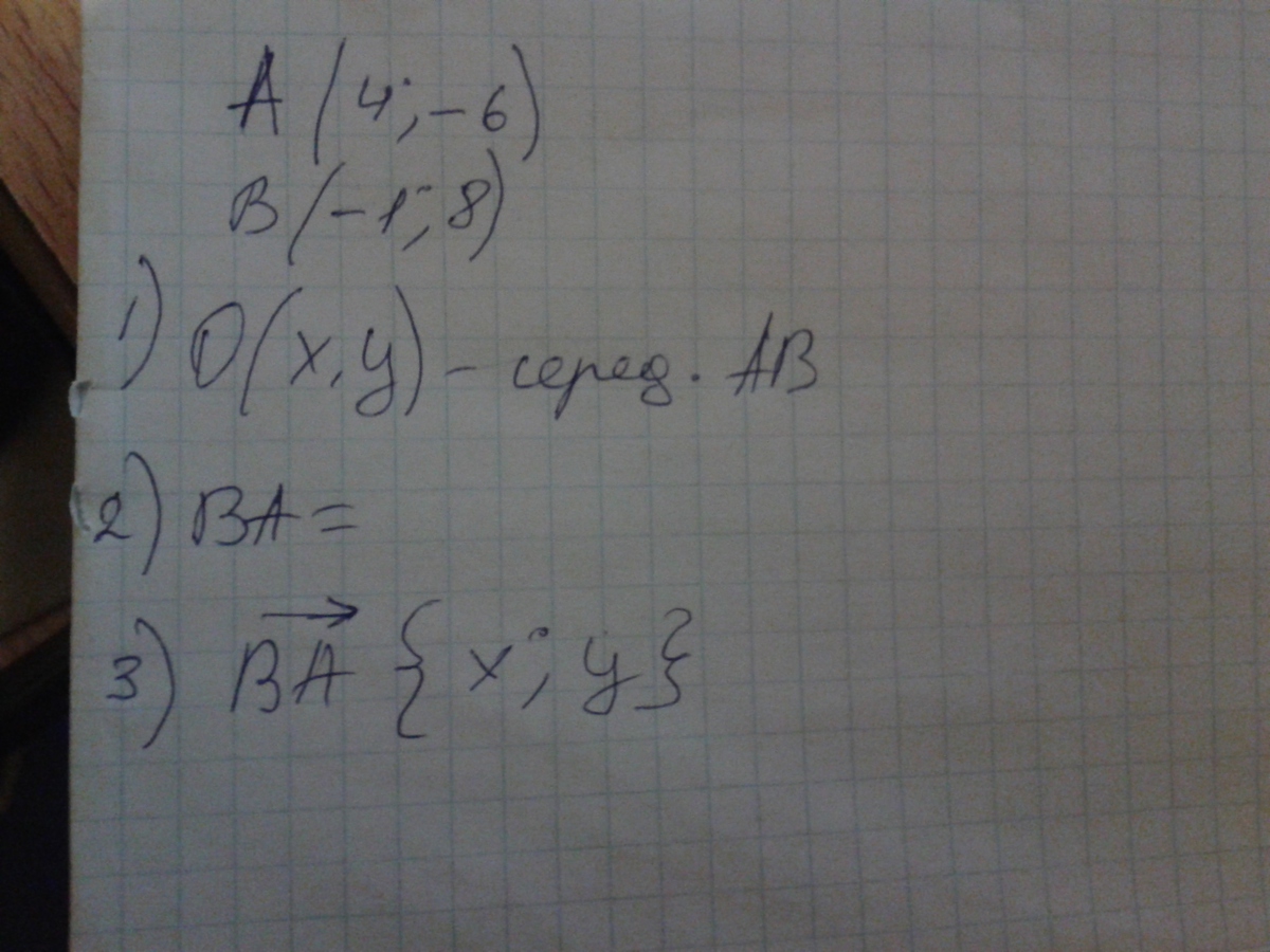
Формулы надеюсь кто умный) тот знает, там что то (х2-х1) (у2-у1) что-то из этого, помогите!))
Приложения:

Ответы
Ответ дал:
0
АВ=кв.корень из (х2-х1)^2(у2-у1)^2=корень из 221=14,86----
О(х=(х1+х2)/2; у=(у1+у2)/2)=(1,5 ; -6)----
О(х=(х1+х2)/2; у=(у1+у2)/2)=(1,5 ; -6)----
Ответ дал:
0
вектор АВ -5; 14
Ответ дал:
0
А можешь написать как нибудь по красившке? А то нечего не понятно) Или напиши на листочке! Всё дам, лайк, лучший и т.д) Ток напиши норм
Вас заинтересует
2 года назад
10 лет назад
10 лет назад