Ответы
Ответ дал:
0
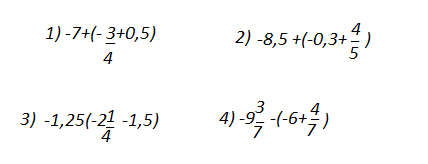
1. -7+(-0.75+0.5)=-7-0.25=-7.25
2. -8.5+(-0.3+0.8)=-8.5+0.5=-8
3.-1.25(-2.25-1.5)=-1.25(-3.75)=1 1/4*3 3/4=5/4*15/4=75/16=4 11/16
4. -9 3/7-(-42/7+4/7)=-9 3/7-(-38/7)=-66/7+38/7=-28/7=-4
2. -8.5+(-0.3+0.8)=-8.5+0.5=-8
3.-1.25(-2.25-1.5)=-1.25(-3.75)=1 1/4*3 3/4=5/4*15/4=75/16=4 11/16
4. -9 3/7-(-42/7+4/7)=-9 3/7-(-38/7)=-66/7+38/7=-28/7=-4
Ответ дал:
0
Спасибо большое С=
Вас заинтересует
3 года назад
3 года назад
8 лет назад
8 лет назад
10 лет назад
11 лет назад