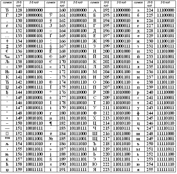
Дано закодированное трехбуквенное сообщение "11010000 11001110 11001010". Каким будет расшифрованное сообщение, считая, что коды соседних прописных букв алфавита отличаются на еденицу?
Варианты ответов:
1)НОС 2)СОМ 3)ПОЛ 4)РОК
И напишите решение поподробнее, пожалуйста :)
Ответы
Ответ дал:
0
4) РОК
11010000-Р 11001110-О 11001010-К
Приложения:
Вас заинтересует
3 года назад
3 года назад
8 лет назад
8 лет назад
11 лет назад
11 лет назад