Люди решите пожалуйста! Стеклянная капилярная трубка опущенна в широкую посудину с ртутью.Вычислете диаметр капилярнай трубки, если уровень ртути в ней ниже уровня в посудене на 14мм. И пишу на всяк.случай густата ртути равняетса 13.60
Ответы
Ответ дал:
0
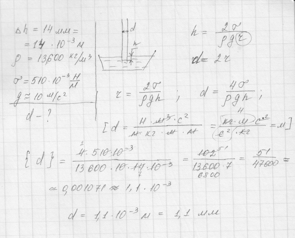
Есть формула, связывающая высоту опускания жидкости в капиляре с плотностью жидкости, радиусом капиляра и поверхностным натяжение жидкости (ртути). Из этой формулы если найти радиус капиляра, а потом умножить на 2, то получим диаметр капиляра.
Решение прилагается.
Приложения:

Вас заинтересует
2 года назад
2 года назад
8 лет назад
8 лет назад
10 лет назад
10 лет назад
10 лет назад