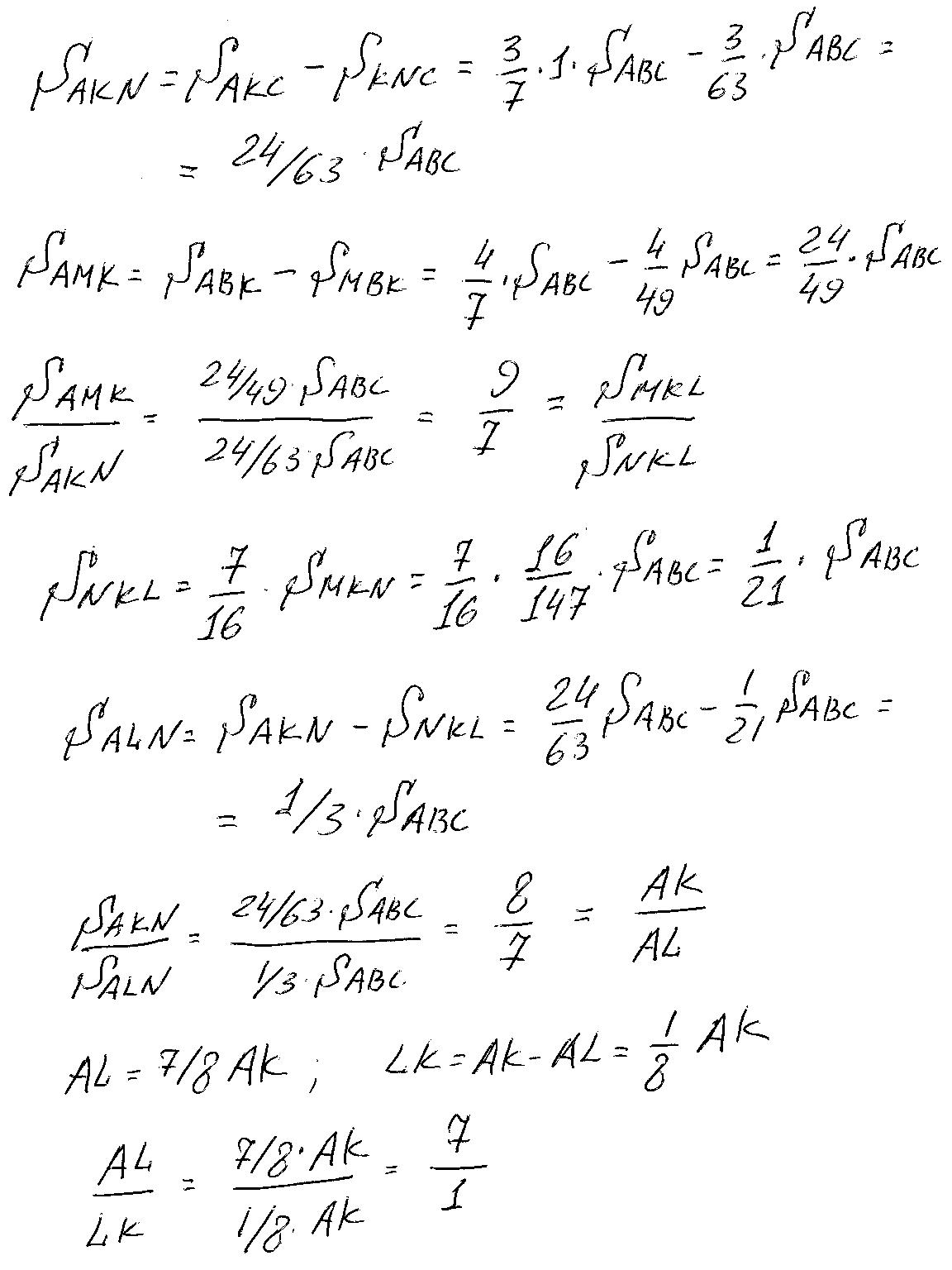
точки М,К,N РАСПОЛОЖЕНЫ СООТВЕТСТВЕННО НА СТОРОНАХ АВ, АС , ВС треугольника АВС так что АМ/МВ =6/1 , AN/NC = 8/1 СК /КВ =3/4 .Отрезки AK и MN пересекаются в точке L . Найдите отношение AL/LK
Ответы
Обозначим треугольник АВС(смотри рисунок). Проведём перпендикуляры KQ и LP .Находим площадь треугольника AMN через площадь треугольника АВС. Аналогично находим площади всех нужных внутренних треугольников выражая их через площадь треугольника АВС. Площади треугольников MKL и NKL относятся также как и площади AMK и AKN, поскольку у них основание LK общее, а отношение высот равно отношению высот треугольников AMK и AKN. У треугольников AKN и ALN общее основание AN. Следовательно отношение их высот KQ и LP будет равно отношению их площадей=8/7. Но прямоугольные треугольники AKQ и ALP подобны, значит также и отношение AK/AL=8/7. Ответ AL/LK=7/1.

