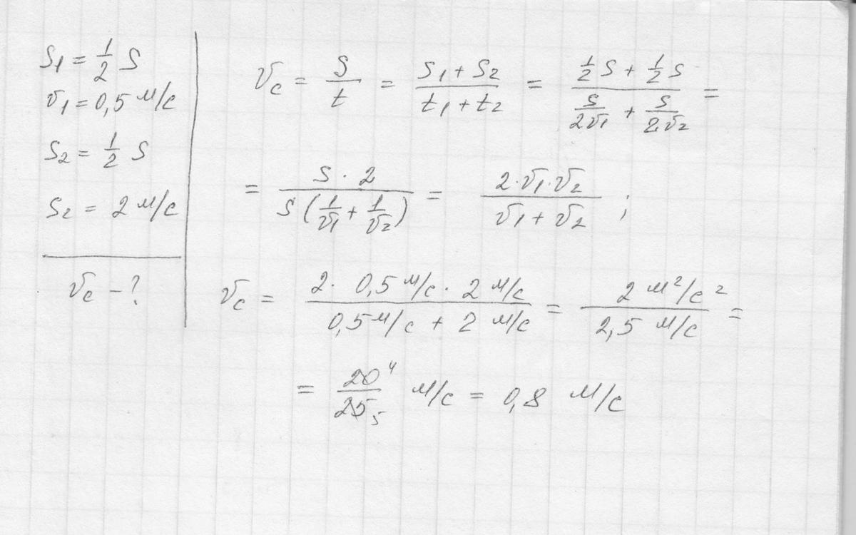
Лодка проплыла первую половину пути с постоянной скоростью, модуль которой υ = 0,5 м/с, а вторую половину пути — с υ = 2 м/с. Определите среднюю путевую скорость лодки.
Ответы
Ответ дал:
0
Средняя путевая скорость находится как отношение всего пройденного пути ко всему затраченному времени.
Решение прилагается.
Приложения:

Вас заинтересует
2 года назад
10 лет назад
10 лет назад
10 лет назад