• Предмет: Математика
  • Автор: Masha120914
  • Вопрос задан 10 лет назад

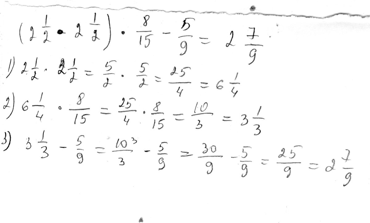
(2 1/2 * 2 1/2) * 8/15 - 5/9=

Решите пожалуйста расписывая.

Ответы

Ответ дал: Nastya171167
0
смотри решение во вложении

Приложения:
Ответ дал: Masha120914
0
Спасибо огромное!!))
Ответ дал: Nastya171167
0
:)
Вас заинтересует