Добрый вечер, товарищи! Возникли трудности в решении задачи по геометрии. Условия задачи: Sтреугольника=12 кв.см., h=
. Найти нужно сторону a.
Ответы
Ответ дал:
0
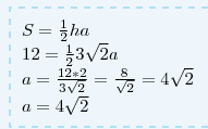
C формулы площади треугольника:

Приложения:

Ответ дал:
0
В этом решении потеряна 1/2.
Вас заинтересует
2 года назад
2 года назад
7 лет назад
10 лет назад
10 лет назад
10 лет назад