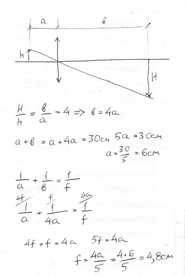
расстояние между предметом и его перевёрнутым увеличенным в 4 раза изображением равно 30 см.Определите фокусное расстояние линзы
(Пожалуйста подробное решение со всеми формулами,или только формулы)
Ответы
Ответ дал:
0
Решение см. во вложении.
Приложения:

Ответ дал:
0
помоги с с другой задачей http://znanija.com/task/8716643?source=200
Вас заинтересует
2 года назад
7 лет назад
10 лет назад
10 лет назад