• Предмет: Алгебра
  • Автор: LyazzatR
  • Вопрос задан 10 лет назад

найти интеграл:
dx/x^2-2x

Ответы

Ответ дал: Anastsiia
0
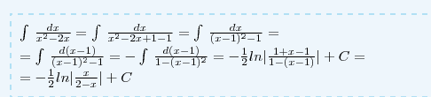
 int {} ,  frac{dx}{x^2-2x}= int {} ,  frac{dx}{x^2-2x+1-1}=int {} ,  frac{dx}{(x-1)^2-1}= \ 
=int {} , frac{d(x-1)}{(x-1)^2-1}=-int {} , frac{d(x-1)}{1-(x-1)^2}=- frac{1}{2}ln| frac{1+x-1}{1-(x-1)} |+C=  \ 
=- frac{1}{2}ln| frac{x}{2-x} |+C
Приложения:
Вас заинтересует