Ответы
Ответ дал:
0
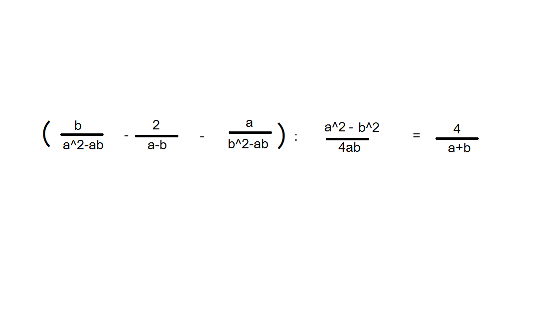
см.рис.
Если левая часть тождества равна правой, значит оно верно или тождественно равно))
Приложения:

Ответ дал:
0
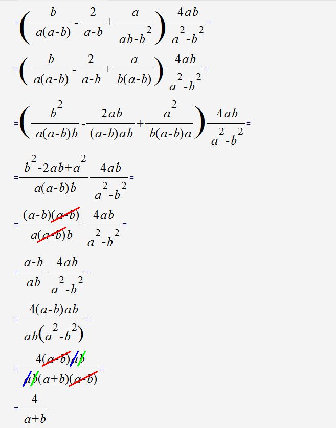
Левая часть =
приведём скобку к общему знаменателю:
=
В числителе видим формулу квадрат разности:
= Что и требовалось доказать.
Приложения:

Вас заинтересует
2 года назад
8 лет назад
8 лет назад
10 лет назад
10 лет назад