• Предмет: Математика
  • Автор: Nata75
  • Вопрос задан 11 лет назад

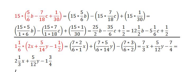
помогите, пожалуйста, решить

Приложения:

Ответы

Ответ дал: Anna216
0

1)25/2 в - 35/6с +1/2

2)7х/3 + 5/12 у - 7/4

Ответ дал: triolana
0

===========================================

Приложения:
Вас заинтересует