• Предмет: Алгебра
  • Автор: Fallout3
  • Вопрос задан 11 лет назад

Решить 2 уравнения:

 

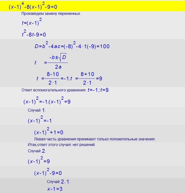
1. (x-1)^4-8(x-1)^2-9=0

 

2. frac{(x-1)^2}{3}+frac{48}{(x-1)^2}=10(frac{x-1}{3}-frac{4}{x-1})


Выберу лучшее решение! Всем нажму "Спасибо"!

Ответы

Ответ дал: Аноним
0

1) см.вложение

2) см. документ

Приложения:
Ответ дал: 2407Alexa
0

 

пусть (х-1)^2=t

t^2-8t-9=0

D=(-8)^2-4*1*(-9)=64+36=100

t1=(8+10)/2=9

t2=(8-10)/2=-1-корень не подходит

(х-1)^2=9

x^2-2x+1=9

x^2-2x-8=0

D=4+34=36

x1=2+6/2=4

x2=2-6/2=-2

 

 

[(x-1)^4+144]/3(x-1)^2=[(10(x-1)^2-120]/3(x-1)

[(x-1)^4+144-10(x-1)^3+120(x-1)]/3(x-1)^2=0

(x-1)[(x-1)^3-10(x-1)^2+264]/3(x-1)^2=0

[(x-1)^3-10(x-1)^2+264]/3(x-1)=0

обе части ур-ния умножаем на 3(х-1) при условии что оно не =0

3(х-1) не =0

х не=1

(x-1)^3-10(x-1)^2+264=0

x^3-3x^2+3x-1-10x^2+20x+10+264=0

x^3-13x^2+20x+266=0

 

 

 

Приложения:
Вас заинтересует